ํฐ์คํ ๋ฆฌ ๋ทฐ
2D Gaussian Splatting for Geometrically Accurate Radiance Fields | ๋ ผ๋ฌธ ๋ฆฌ๋ทฐ
ํด๋์๊ทธ 2024. 9. 1. 16:05SIGGRAPH 2024.
BINBIN HUANG, ZEHAO YU, ANPEI CHEN, ANDREAS GEIGER, SHENGHUA GAO
ShanghaiTech University | University of Tübingen Tübingen AI Center |
9 Jun 2024
3D-GS ๋ฐฉ๋ฒ์ NeRF ๋ณด๋ค ์ ๋ฆฌํ์ง๋ง, pointcloud ์ ๋ณํ์ ๊ฐ๊น์ด ํน์ฑ์ mesh ๋ก ๋ง๋๋ ๊ฒ์ ์ด๋ ต๊ณ , ์ค์ฌ์ฉํ๊ธฐ์ ๋ฌด๋ฆฌ๊ฐ ์๋ค.
์ค์ฌ์ฉํ ์ ๋์ ์ฑ๋ฅ์ ๋ด๋ 2D-GS์ ๋ํด ์์๋ณด์.
Introduction
3D-GS์ Challenges in Surface Reconstruction
- Thin Surface ๋ฅผ ๋ฐฐ์ฐ๊ธฐ ์ด๋ ต๋ค.
- Surface Normal ์ ๋ฐฐ์ฐ์ง ์๋๋ค. -> high-quality surface ๋ฅผ reconstruction ํ ์ ์๋ค.
- Multi-View Consistency ๊ฐ ๋ถ์กฑํ๋ค. -> ๊ฐ๊ธฐ ๋ค๋ฅธ viewpoint ์์ ๋ค์ํ 2D intersection surface ๊ฐ ๋ฐ์ํ๋ ๋ฌธ์ ๋ฐ์
- Affine Projection ์ด ์ ํํ์ง ์๋ค.

2D Gaussian Splatting
Modeling

๋ณธ ๋ ผ๋ฌธ์์ ์ ์ํ๋ ๋ฐฉ๋ฒ์, flatํ 2D Gaussian(surfels)์ผ๋ก ์ด๋ฃจ์ด์ง scene ์ ํ์ต์ํค์๋ ๊ฒ์ด๋ค.

2D Gaussian์ ๊ตฌ์ฑ์ ๋จผ์ ๋ณด๋ฉด,
[์ค์ pkโ, ๋๊ฐ์ tangetial ํ์ ์ vector (tuโ,tvโ), ์ค์ผ์ผ๋ง ๋ฒกํฐ, normal ๋ฒกํฐ] ๋ก ๊ตฌ์ฑ์ด ๋์ด์๋ค.
2D Gaussian์ local tangent plane P ์์ ์ ์ํ ์ ์์ผ๋ฉฐ, ์ด๋ plane P ๋ ์์ ๊ฐ๋ค.

๋ฐ๋ผ์ uv frame ์์ 2D Gaussian ์ ์์ ๊ฐ์ standard 2D Gaussian fucntion ์ผ๋ก ํํ๋๋ค.
Splatting
2D-to-2D Projections in Homogeneous Coordinates
2D GS ์ ์ ์๋ค์ 2D Gaussians projection ์ผ๋ก homogeneous coordinates ๋ฅผ ์ด์ฉํ ์ผ๋ฐ์ ์ธ 2D-to-2D mapping ์ ์ฌ์ฉํ ๊ฒ์ ์ ์ํ๋ค.
World-to-screen transformation matrix W์ ๋ํ์ฌ (2D) ์์ point (x,y) ๋ ๋ค์๊ณผ ๊ฐ์ ๊ด๊ณ๋ฅผ ๊ฐ๋๋ค.

์ด๋ camera space ์์์ point (x,y) ์์์ c2w direction ray ๊ฐ 2D splats ๊ณผ depth z์์ ๊ต์ฐจํ๋ค๋ ์๋ฏธ์ด๋ค.
Ray-Splat Intersection

๋ฐ๋ผ์ ์ ์๋ค์ ray-splat ์ ๊ต์ ์ 3๊ฐ์ non-parallel plane (uv plane, x-homogeneous plane, y-homogeneous plane) ์ ๊ต์ ์ ๊ตฌํ๋ ๋ฐฉ๋ฒ์ผ๋ก ์ด๋ฅผ ํด๊ฒฐํ๋ค.
image coordinate (x,y) ์ ๋ํ์ฌ,
์ฐ๋ฆฌ๋ ray x=(x,y) ๋ฅผ ๋ homogeneous x-plane hxโ=(−1,0,0,x) ์ y-plane hyโ=(−1,0,0,y) ์ฌ์ด์ ๊ต์ ์ผ๋ก ์ ์ํ ์ ์์ผ๋ฉฐ, world space ์์ ์ ์๋ homogeneous plane hxโ ์ hyโ ๋ฅผ uv-space ์์ผ๋ก tranform ํ์ฌ ๊ต์ ์ ๊ตฌํ๋ค.
x, y homogeneous plane ์ uv space ์์๋ก transform ํ์ฌ ๊ตฌํ ๋ plane huโ, hvโ ์ ๋ค์๊ณผ ๊ฐ์ผ๋ฉฐ,

screen space (x,y) ๋ฅผ ์ง๋๋ c2w direction ray ์ 2D Gaussian Splats ์ ๊ต์ ์ ์์ ๊ฐ์ด ๊ตฌํ ์ ์๋ค.
Ray x์ u,v plane์ ๊ต์ฐจ์ ๋ ์ฐพ์ ์ ์๋ค.
Degenerate Solutions
์์ ์ ์ธ ์ต์ ํ์ ์ํํ ๋ ๋๋ง์ ์ํด Low-pass filter๋ฅผ ๊ธฐ๋ฐ์ผ๋ก, lower-bounded Gaussian์ ์ทจ๋ํ๋ค.

Rasterization
๋์ ๋ถํฌ๋ช ๋๊ฐ ์ต์ข ์ ์ผ๋ก 1์ด ๋ ๋๊น์ง ๋ค์์ ๊ณผ์ ์ ๋ฐ๋ณตํ๋ค.
- ๊ฐ Gaussian์ ๋ํด screen bounding box๋ฅผ ๊ณ์ฐํ๋ค.
- 2D Gaussian๋ค์ ๊ฐ ์ค์ฌ์ ์ depth๋ฅผ ๊ธฐ์ค์ผ๋ก ์ ๋ ฌํ๋ค.
- ์ดํ bounding box ๊ธฐ๋ฐ์ tile ๊ตฌ์ฑ
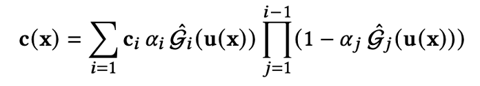
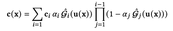
- ์๋ ์์ ๋ฐ๋ผ volumetric alpha blending ์ํํ๋ค.

Training
Depth Distortion
3D-GS ์ volume rendering ์ ๊ต์ฐจํ๋ splats ๊ฐ์ ๊ฑฐ๋ฆฌ ์ฐจ์ด๋ฅผ ๊ณ ๋ คํ์ง ์๋๋ค.
๊ทธ๋ ๊ธฐ ๋๋ฌธ์ ๋๋ฆฌ ํผ์ง gaussian splats ๋ค์ ๋น์ทํ color์ depth๋ฅผ ๊ฐ์ง ์ ์์ผ๋ฉฐ, ์ด๋ surface reconstruction ์ ์ด๋ ต๊ฒ ํ๋ค.

Ray-splat intersection ๊ฐ ๊ฑฐ๋ฆฌ๋ฅผ ์ต์ํํ๋ loss ์ ์ํ๋ค.

W๋ Blending weight์ด๋ค.
Normal Consistency
๋ชจ๋ 2D splats์ด ์ค์ surface ์ ์ ๋ ฌ๋๋๋ก ํ๋ normal-consistency loss ๋ฅผ ์ ์ํ๋ค.
- ๋ฐํฌ๋ช ๋ฌผ์ฒด์ ์๋ชป๋ ๋ ๋๋ง์ผ๋ก normal ๊ฐ์ด ์ผ๊ด๋์ง ์๋๋ค.
- ๋์ ๋ถํฌ๋ช ๋๊ฐ 0.5์ด์ ๋์์ ๋๋ถํฐ, loss๋ฅผ ํตํด regularization์ ์ํํ๋ค


Final Loss๋ ๋ค์๊ณผ ๊ฐ๋ค.

Experience
PSNR ์์ฒด๋ ์ด์ ์ฐ๊ตฌ์ ๋นํด ๋ฐ์ด๋์ง ์์ง๋ง, ๋ณธ ๋ ผ๋ฌธ์ ์ฐ๊ตฌ ์ฑ๋ฅ์ ์ ์ฑํ๊ฐ๋ฅผ ํ์ ๋ ํ์ฐํ ๋ณด์ธ๋ค.


'AI > ๋ ผ๋ฌธ ๋ฆฌ๋ทฐ Paper Review' ์นดํ ๊ณ ๋ฆฌ์ ๋ค๋ฅธ ๊ธ
- Total
- Today
- Yesterday
- lgaimers
- ์ฝ๋ฉ์๋ฌ
- gan
- ํ ํฌ์๋ฐ
- ํ๋ก๊ทธ๋๋จธ์ค
- AIRUSH
- ์ฝ๋ฉ๊ณต๋ถ
- ๋ ผ๋ฌธ๋ฆฌ๋ทฐ
- ๋๋ฆผ๋ถ์ค
- Aimers
- SKTECHSUMMIT
- MYSQL
- ๋ ผ๋ฌธ์ฝ๊ธฐ
- SQL
- Paper review
- C์ธ์ด
- dreambooth
- ์ปดํจํฐ๋น์
- 2d-gs
- ํ์ด์ฌ
- AI์ปจํผ๋ฐ์ค
- 3d-gs
- CLOVAX
- ์คํ ์ด๋ธ๋ํจ์
- ํ์ด์ฌ์ฝํ
- AIRUSH2023
- ์ฝํ ์ค๋น
- Gaussian Splatting
- ๋ ผ๋ฌธ
- gs๋ ผ๋ฌธ
| ์ผ | ์ | ํ | ์ | ๋ชฉ | ๊ธ | ํ |
|---|---|---|---|---|---|---|
| 1 | 2 | 3 | 4 | 5 | 6 | 7 |
| 8 | 9 | 10 | 11 | 12 | 13 | 14 |
| 15 | 16 | 17 | 18 | 19 | 20 | 21 |
| 22 | 23 | 24 | 25 | 26 | 27 | 28 |
| 29 | 30 | 31 |